Официальное опубликование правовых актов
ОФИЦИАЛЬНОЕ ОПУБЛИКОВАНИЕ
Приказ Комитета по охране объектов культурного наследия Курской области от 15.10.2021 № 01.1-08/490
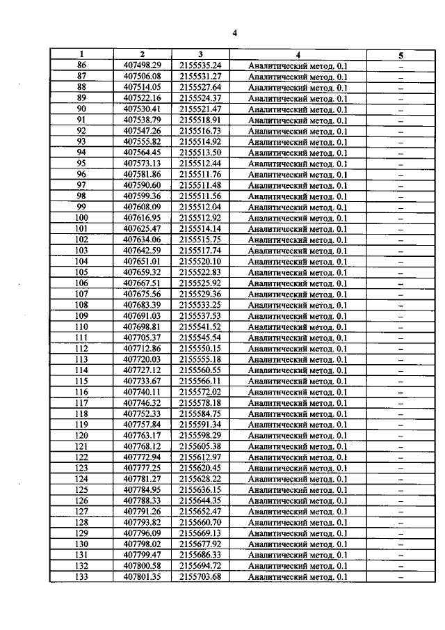
"Об утверждении графического описания местоположения границ защитной зоны объекта культурного наследия регионального значения "Братская могила воинов Советской Армии, погибших в период Великой Отечественной войны. Захоронено 250 человек, установлено фамилий на 37 человек. Скульптурная группа установлена в 1962 году", 1941 – 1945 гг.(Курская область, Тимский район, село 2–ое Выгорное)"
Номер опубликования: 4601202110210041
Дата опубликования: 21.10.2021
Страница №6 из 8:
Увеличить