Официальное опубликование правовых актов
ОФИЦИАЛЬНОЕ ОПУБЛИКОВАНИЕ
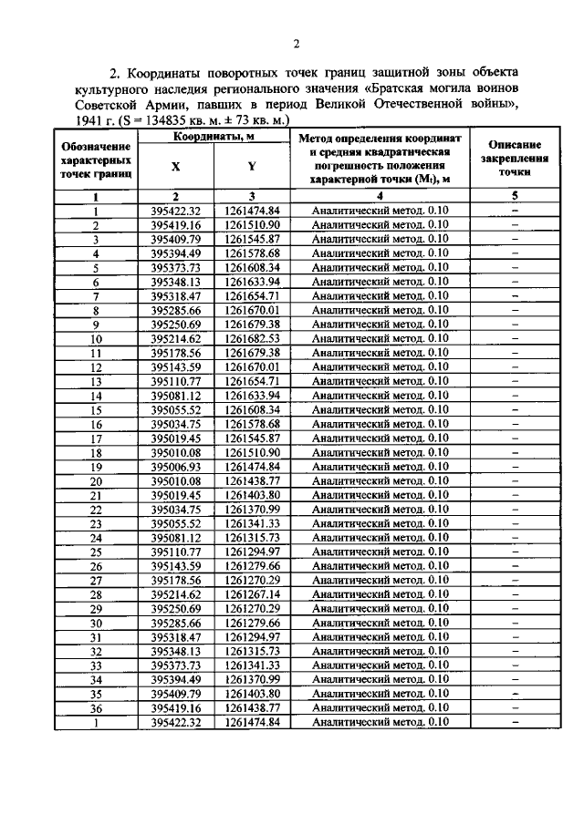
Приказ Комитета по охране объектов культурного наследия Курской области от 15.10.2021 № 01.1-08/489
"Об утверждении графического описания местоположения границ защитной зоны объекта культурного наследия регионального значения "Братская могила воинов Советской Армии, павших в период Великой Отечественной войны", 1941 г. (Курская область, Большесолдатский район, с. Любимовка)"
Номер опубликования: 4601202110210038
Дата опубликования: 21.10.2021
Страница №3 из 4:
Увеличить