Официальное опубликование правовых актов
ОФИЦИАЛЬНОЕ ОПУБЛИКОВАНИЕ
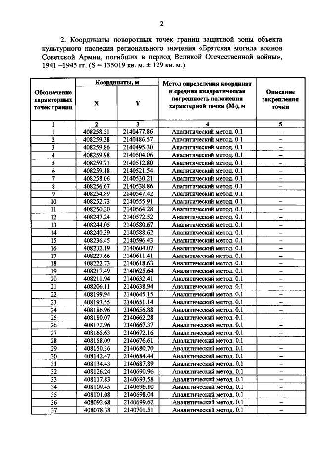
Приказ Комитета по охране объектов культурного наследия Курской области от 15.10.2021 № 01.1-08/499
"Об утверждении графического описания местоположения границ защитной зоны объекта культурного наследия регионального значения "Братская могила воинов Советской Армии, погибших в период Великой Отечественной войны", 1941 –1945 гг. (Курская область, Тимский район, село Рождественка (на восточной окраине села)"
Номер опубликования: 4601202110210035
Дата опубликования: 21.10.2021
Страница №3 из 7:
Увеличить