Официальное опубликование правовых актов
ОФИЦИАЛЬНОЕ ОПУБЛИКОВАНИЕ
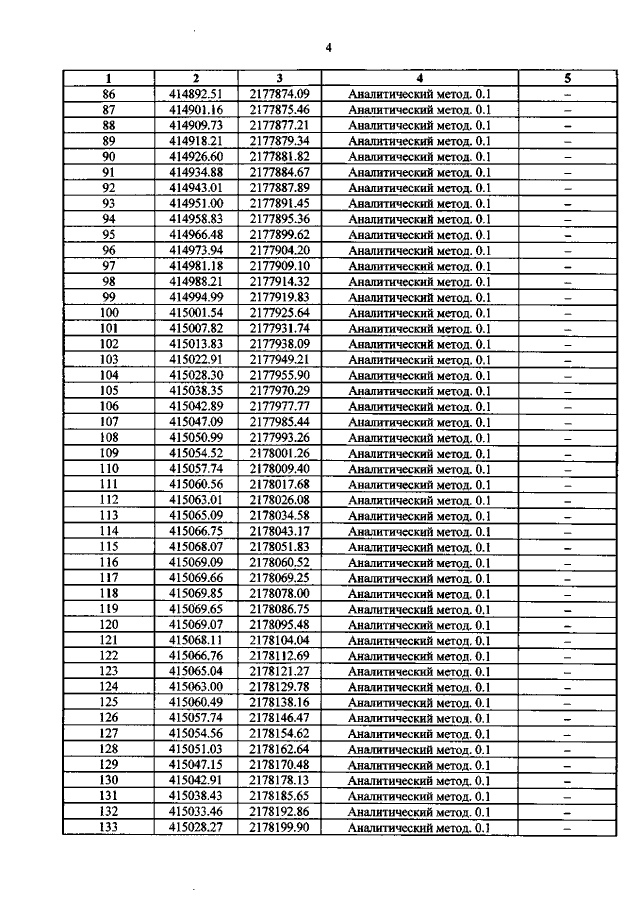
Приказ Комитета по охране объектов культурного наследия Курской области от 15.10.2021 № 01.1-08/498
"Об утверждении графического описания местоположения границ защитной зоны объекта культурного наследия регионального значения "Могила неизвестного советского воина", 1943 г. (Курская область, Тимский район, с. Рогозецкий Колодезь)"
Номер опубликования: 4601202110210034
Дата опубликования: 21.10.2021
Страница №5 из 7:
Увеличить