Официальное опубликование правовых актов
ОФИЦИАЛЬНОЕ ОПУБЛИКОВАНИЕ
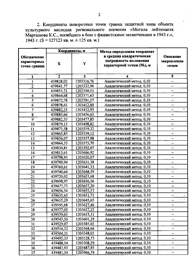
Приказ Комитета по охране объектов культурного наследия Курской области от 14.10.2021 № 01.1-08/475
"Об утверждении графического описания местоположения границ защитной зоны объекта культурного наследия регионального значения "Могила лейтенанта Мартынова К.С.‚ погибшего в бою с фашистскими захватчиками в 1943 г."‚ 1943 г. (Курская область, Хомутовский район, д. Тепловка)"
Номер опубликования: 4601202110210020
Дата опубликования: 21.10.2021
Страница №3 из 5:
Увеличить