Официальное опубликование правовых актов
ОФИЦИАЛЬНОЕ ОПУБЛИКОВАНИЕ
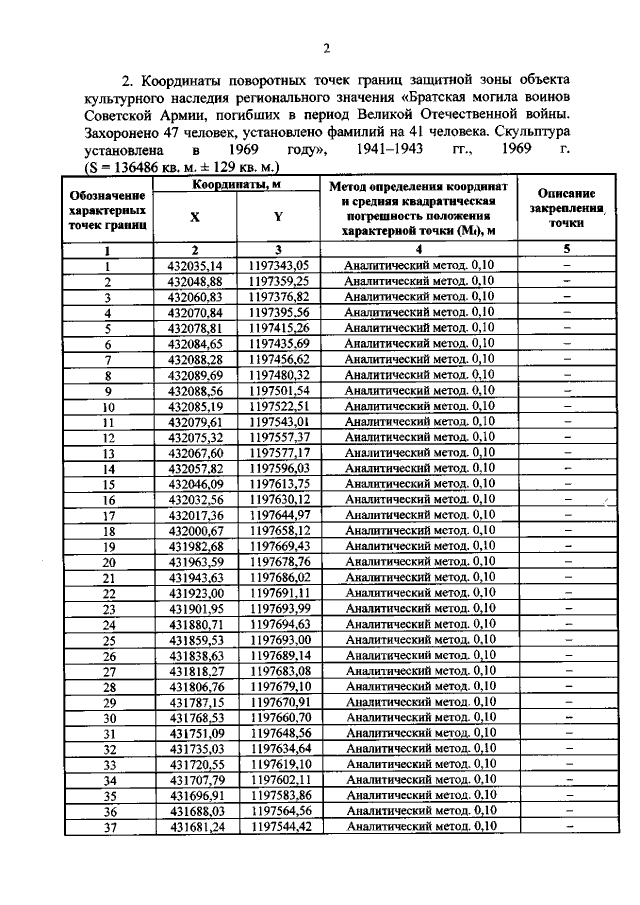
Приказ Комитета по охране объектов культурного наследия Курской области от 14.10.2021 № 01.1-08/468
"Об утверждении графического описания местоположения границ защитной зоны объекта культурного наследия регионального значения "Братская могила воинов Советской Армии, погибших в период Великой Отечественной войны. Захоронено 47 человек, установлено фамилий на 41 человека. Скульптура установлена в 1969 году", 1941—1943 гг.‚ 1969 г. (Курская область, Хомутовский район, село Поды (у здания средней школы)"
Номер опубликования: 4601202110210016
Дата опубликования: 21.10.2021
Страница №3 из 5:
Увеличить