Официальное опубликование правовых актов
ОФИЦИАЛЬНОЕ ОПУБЛИКОВАНИЕ
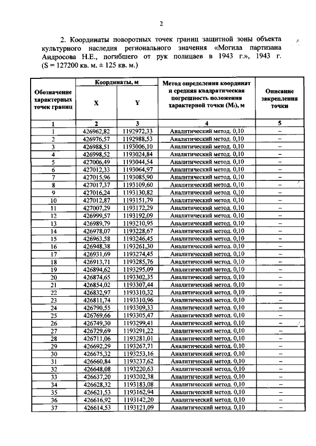
Приказ Комитета по охране объектов культурного наследия Курской области от 14.10.2021 № 01.1-08/477
"Об утверждении графического описания местоположения границ защитной зоны объекта культурного наследия регионального значения "Могила партизана Андросова Н.Е.‚ погибшего от рук полицаев в 1943 г.", 1943 г. (Курская область, Хомутовский район, д. Серовка)"
Номер опубликования: 4601202110200003
Дата опубликования: 20.10.2021
Страница №3 из 5:
Увеличить