Официальное опубликование правовых актов
ОФИЦИАЛЬНОЕ ОПУБЛИКОВАНИЕ
Приказ Комитета по охране объектов культурного наследия Курской области от 04.10.2021 № 01.1-08/460
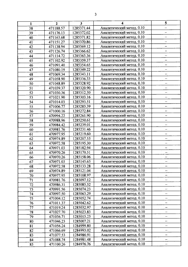
"Об утверждении графического описания местоположения границ защитной зоны объекта культурного наследия регионального значения "Братская могила воинов Советской Армии, погибших в период Великой Отечественной войны. Захоронено 66 человек, установлено фамилий на 39 человек. Скульптура установлена в 1963 году", 1963 г. (Курская область, Фатежский район, с. Хмелевое)"
Номер опубликования: 4601202110110009
Дата опубликования: 11.10.2021
Страница №4 из 6:
Увеличить