Официальное опубликование правовых актов
ОФИЦИАЛЬНОЕ ОПУБЛИКОВАНИЕ
Приказ Комитета по охране объектов культурного наследия Курской области от 04.10.2021 № 01.1-08/452
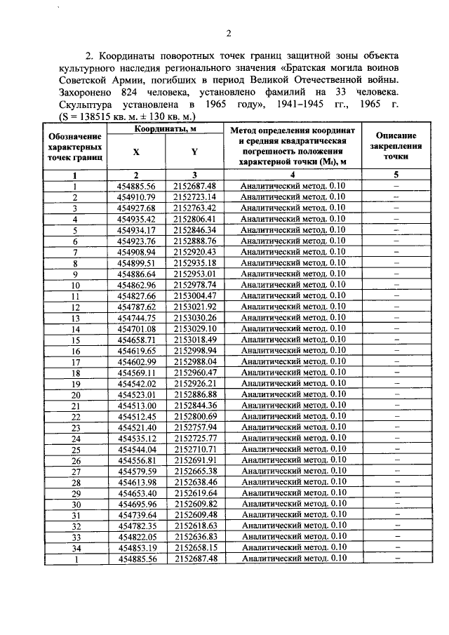
"Об утверждении графического описания местоположения границ защитной зоны объекта культурного наследия регионального значения ‹Братская могила воинов Советской Армии, погибших в период Великой Отечественной войны. Захоронено 824 человека, установлено фамилий на 33 человека. Скульптура установлена в 1965 году", 1941—1945 гг.‚ 1965 г. (Курская область, Черемисиновский район, село Стаканово (в 20 м от сельского клуба "Спутник")"
Номер опубликования: 4601202110080024
Дата опубликования: 08.10.2021
Страница №3 из 4:
Увеличить