Официальное опубликование правовых актов
ОФИЦИАЛЬНОЕ ОПУБЛИКОВАНИЕ
Приказ Комитета по охране объектов культурного наследия Курской области от 04.10.2021 № 01.1-08/454
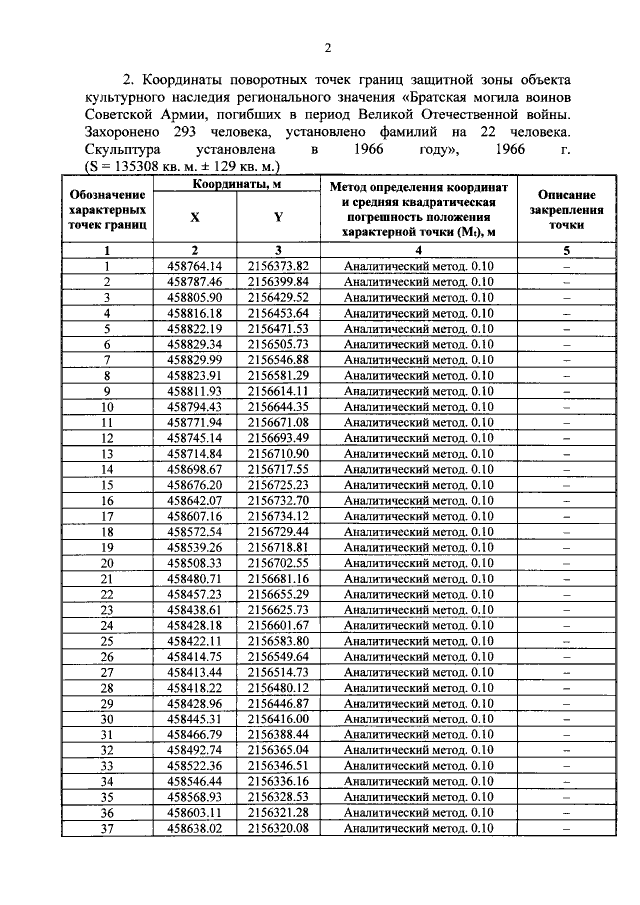
"Об утверждении графического описания местоположения границ защитной зоны объекта культурного наследия регионального значения "Братская могила воинов Советской Армии, погибших в период Великой Отечественной войны. Захоронено 293 человека, установлено фамилий на 22 человека. Скульптура установлена в 1966 году", 1966 г. (Курская область, Черемисиновский район, село Исаково (в 40 м от восьмилетней школы и в 150 м от правления колхоза)"
Номер опубликования: 4601202110080020
Дата опубликования: 08.10.2021
Страница №3 из 5:
Увеличить