Официальное опубликование правовых актов
ОФИЦИАЛЬНОЕ ОПУБЛИКОВАНИЕ
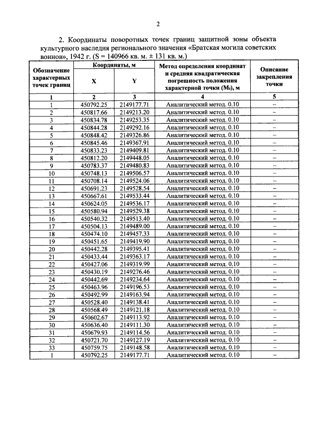
Приказ Комитета по охране объектов культурного наследия Курской области от 04.10.2021 № 01.1-08/456
"Об утверждении графического описания местоположения границ защитной зоны объекта культурного наследия регионального значения "Братская могила советских воинов", 1942 г. (Курская область, Черемисиновский район, д. Нижнеольховатое)"
Номер опубликования: 4601202110080019
Дата опубликования: 08.10.2021
Страница №3 из 4:
Увеличить