Официальное опубликование правовых актов
ОФИЦИАЛЬНОЕ ОПУБЛИКОВАНИЕ
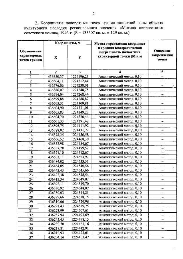
Приказ Комитета по охране объектов культурного наследия Курской области от 04.10.2021 № 01.1-08/443
"Об утверждении графического описания местоположения границ защитной зоны объекта культурного наследия регионального значения "Могила неизвестного советского воина", 1943 г. (Курская область, Конышевский район, с. Беляево)"
Номер опубликования: 4601202110080014
Дата опубликования: 08.10.2021
Страница №3 из 5:
Увеличить