Официальное опубликование правовых актов
ОФИЦИАЛЬНОЕ ОПУБЛИКОВАНИЕ
Приказ Комитета по охране объектов культурного наследия Курской области от 04.10.2021 № 01.1-08/451
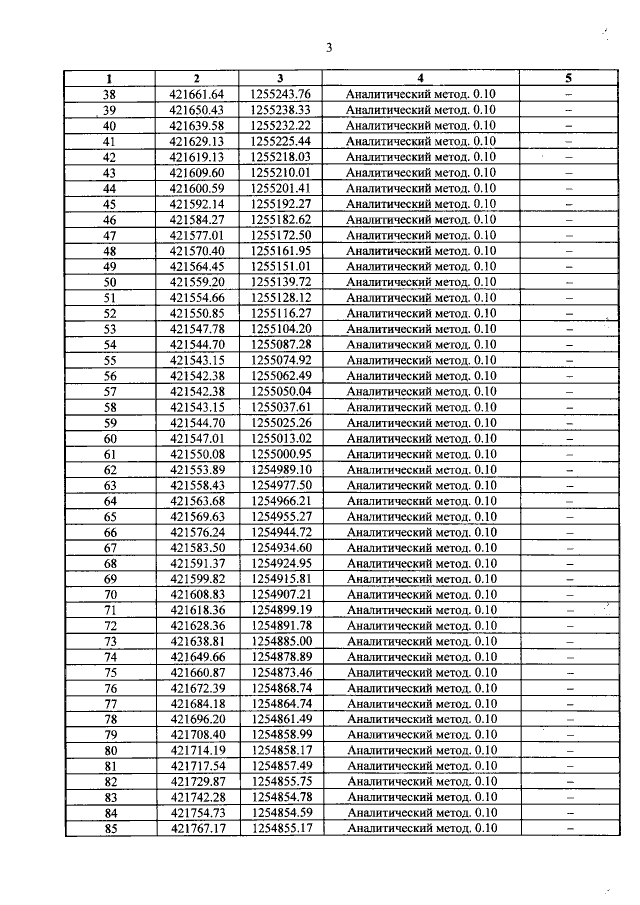
"Об утверждении графического описания местоположения границ защитной зоны объекта культурного наследия регионального значения "Братская могила воинов Советской Армии, погибших в период Великой Отечественной войны, и мирных жителей, расстрелянных немецкими оккупантами. Захоронено 39 человек, установлено фамилий на 11 человек. Скульптура установлена в 1965 году", 1941—1945 гг., 1965 г. (Курская область, Курчатовский район, д. Кожля)"
Номер опубликования: 4601202110080012
Дата опубликования: 08.10.2021
Страница №4 из 6:
Увеличить