Официальное опубликование правовых актов
ОФИЦИАЛЬНОЕ ОПУБЛИКОВАНИЕ
Приказ Комитета по охране объектов культурного наследия Курской области от 30.09.2021 № 01.1-08/432
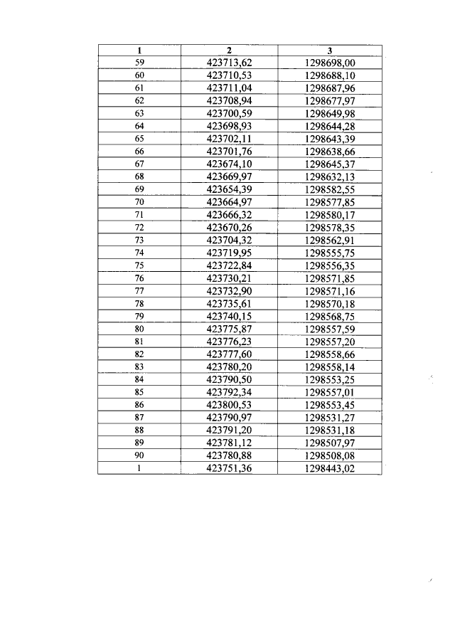
"Об утверждении границ и режима использования территории объекта культурного наследия регионального значения "Мемориал "Советским воинам, погибшим в годы Великой Отечественной войны 1941—1945 гг."‚ 1983 г., расположенного по адресу: Курская область, г. Курск, улица К. Маркса, 48, Воинское кладбище"
Номер опубликования: 4601202110070001
Дата опубликования: 07.10.2021
Страница №8 из 11:
Увеличить