Официальное опубликование правовых актов
ОФИЦИАЛЬНОЕ ОПУБЛИКОВАНИЕ
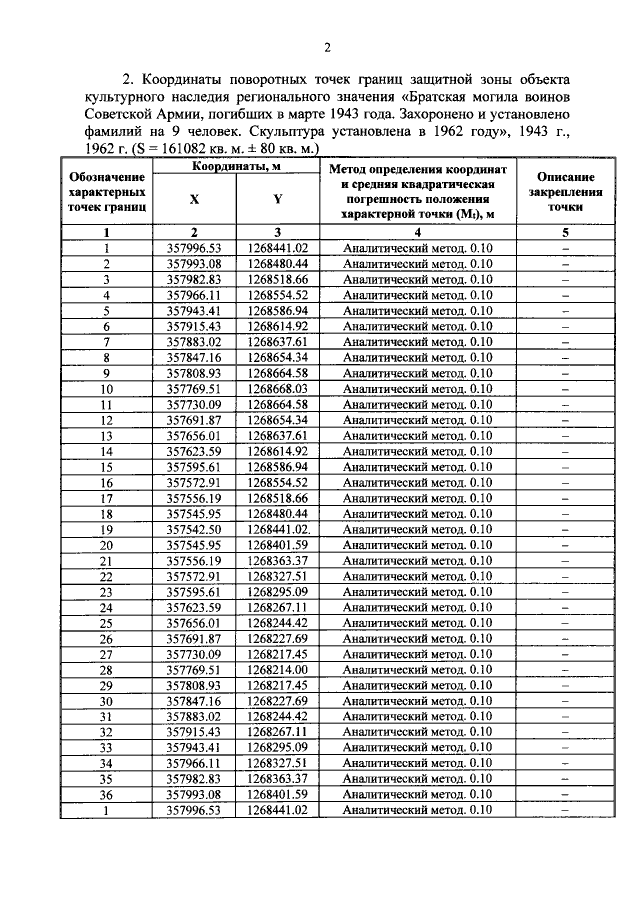
Приказ Комитета по охране объектов культурного наследия Курской области от 16.09.2021 № 01.1-08/411
"Об утверждении графического описания местоположения границ защитной зоны объекта культурного наследия регионального значения "Братская могила воинов Советской Армии, погибших в марте 1943 года. Захоронено и установлено фамилий на 9 человек. Скульптура установлена в 1962 году", 1943 г.‚ 1962 г. (Курская область, Беловский район, с. Долгие Буды (в центре села)"
Номер опубликования: 4601202109220003
Дата опубликования: 22.09.2021
Страница №3 из 4:
Увеличить