Официальное опубликование правовых актов
ОФИЦИАЛЬНОЕ ОПУБЛИКОВАНИЕ
Приказ Комитета по охране объектов культурного наследия Курской области от 17.09.2021 № 01.1-08/425
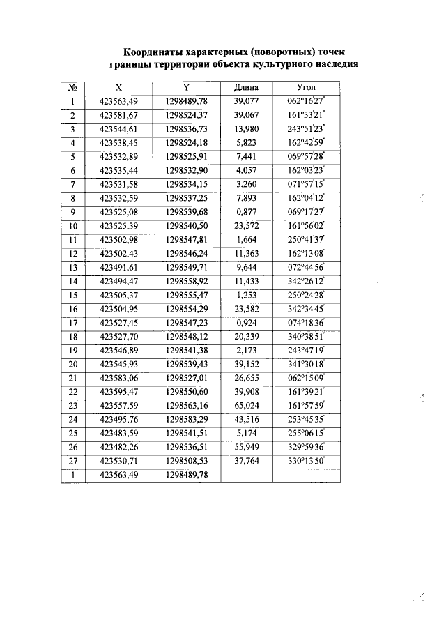
"Об утверждении границ и режима использования территории объекта культурного наследия регионального значения "Одиночные могилы павших в боях и умерших от ран офицеров Советской Армии в период Великой Отечественной войны. Всего — 261 могила. На кладбище в 1952 году установлена скульптура воина", 1941—1945 гг.‚ расположенного по адресу: Курская область, г. Курск, ул. Карла Маркса, д. 48"
Номер опубликования: 4601202109210013
Дата опубликования: 21.09.2021
Страница №4 из 8:
Увеличить