Официальное опубликование правовых актов
ОФИЦИАЛЬНОЕ ОПУБЛИКОВАНИЕ
Приказ Комитета по охране объектов культурного наследия Курской области от 16.09.2021 № 01.1-08/418
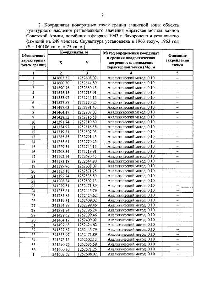
"Об утверждении графического описания местоположения границ защитной зоны объекта культурного наследия регионального значения "Братская могила воинов Советской Армии, погибших в феврале 1943 г. Захоронено и установлено фамилий на 249 человек. Скульптура установлена в 1963 году", 1963 год (Курская область, Беловский район, с. Озерки (в парке села)"
Номер опубликования: 4601202109210010
Дата опубликования: 21.09.2021
Страница №3 из 4:
Увеличить