Официальное опубликование правовых актов
ОФИЦИАЛЬНОЕ ОПУБЛИКОВАНИЕ
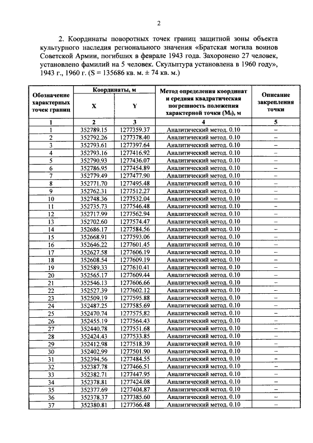
Приказ Комитета по охране объектов культурного наследия Курской области от 16.09.2021 № 01.1-08/412
"Об утверждении графического описания местоположения границ защитной зоны объекта культурного наследия регионального значения "Братская могила воинов Советской Армии, погибших в феврале 1943 года. Захоронено 27 человек, установлено фамилий на 5 человек. Скульптура установлена в 1960 году", 1943 г.‚ 1960 г. (Курская область, Беловский район, с. Гочево Бобравского сельсовета (в центре села)"
Номер опубликования: 4601202109210005
Дата опубликования: 21.09.2021
Страница №3 из 5:
Увеличить