Официальное опубликование правовых актов
ОФИЦИАЛЬНОЕ ОПУБЛИКОВАНИЕ
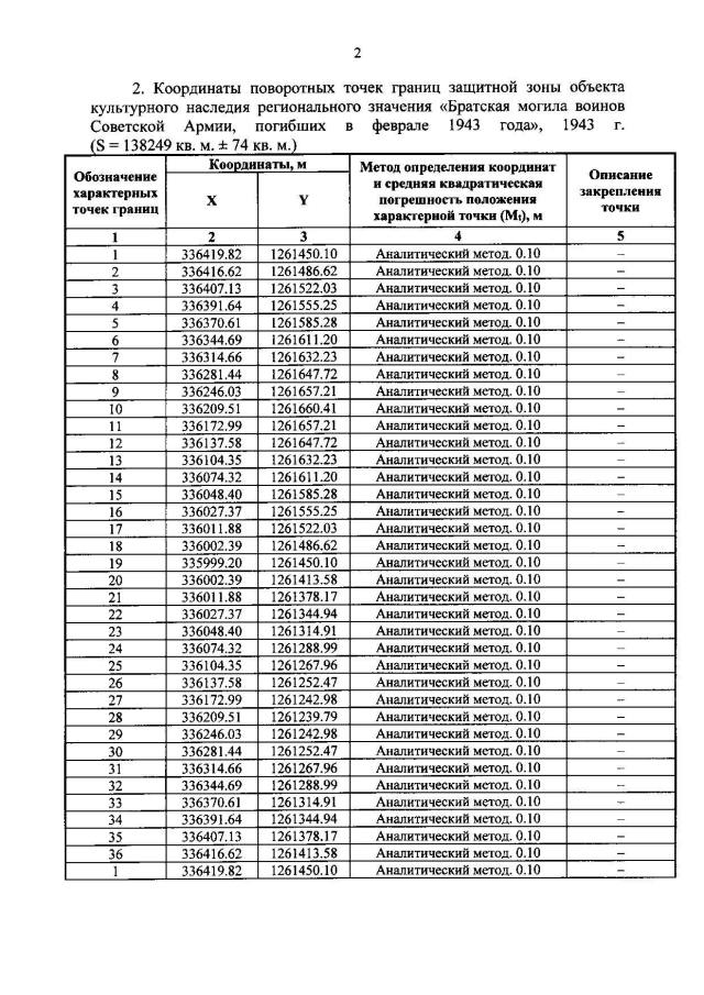
Приказ Комитета по охране объектов культурного наследия Курской области от 13.09.2021 № 01.1-08/405
"Об утверждении графического описания местоположения границ защитной зоны объекта культурного наследия регионального значения "Братская могила воинов Советской Армии, погибших в феврале 1943 года", 1943 г. (Курская область, Беловский район, с. Мокрушино)"
Номер опубликования: 4601202109160002
Дата опубликования: 16.09.2021
Страница №3 из 4:
Увеличить