Официальное опубликование правовых актов
ОФИЦИАЛЬНОЕ ОПУБЛИКОВАНИЕ
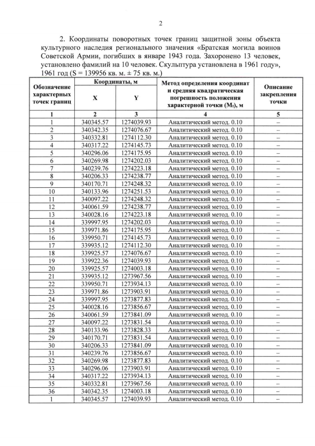
Приказ Комитета по охране объектов культурного наследия Курской области от 13.09.2021 № 01.1-08/404
"Об утверждении графического описания местоположения границ защитной зоны объекта культурного наследия регионального значения "Братская могила воинов Советской Армии, погибших в январе 1943 года. Захоронено 13 человек, установлено фамилий на 10 человек. Скульптура установлена в 1961 году", 1961 год (Курская область, Беловский район, хут. Пенский (в центре хутора)"
Номер опубликования: 4601202109140002
Дата опубликования: 14.09.2021
Страница №3 из 4:
Увеличить