Официальное опубликование правовых актов
ОФИЦИАЛЬНОЕ ОПУБЛИКОВАНИЕ
Приказ Комитета по охране объектов культурного наследия Курской области от 25.08.2021 № 01.1-08/383
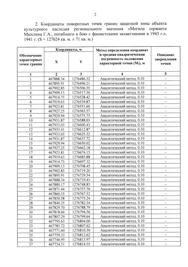
"Об утверждении графического описания местоположения границ защитной зоны объекта культурного наследия регионального значения "Могила сержанта Мыхлина Г.А., погибшего в бою с фашистскими захватчиками в 1943 г.", 1941 г. (Курская область, Фатежский район, д. Ржава)"
Номер опубликования: 4601202108300019
Дата опубликования: 30.08.2021
Страница №3 из 6:
Увеличить