Приказ Комитета по охране объектов культурного наследия Курской области от 25.08.2021 № 01.1-08/386
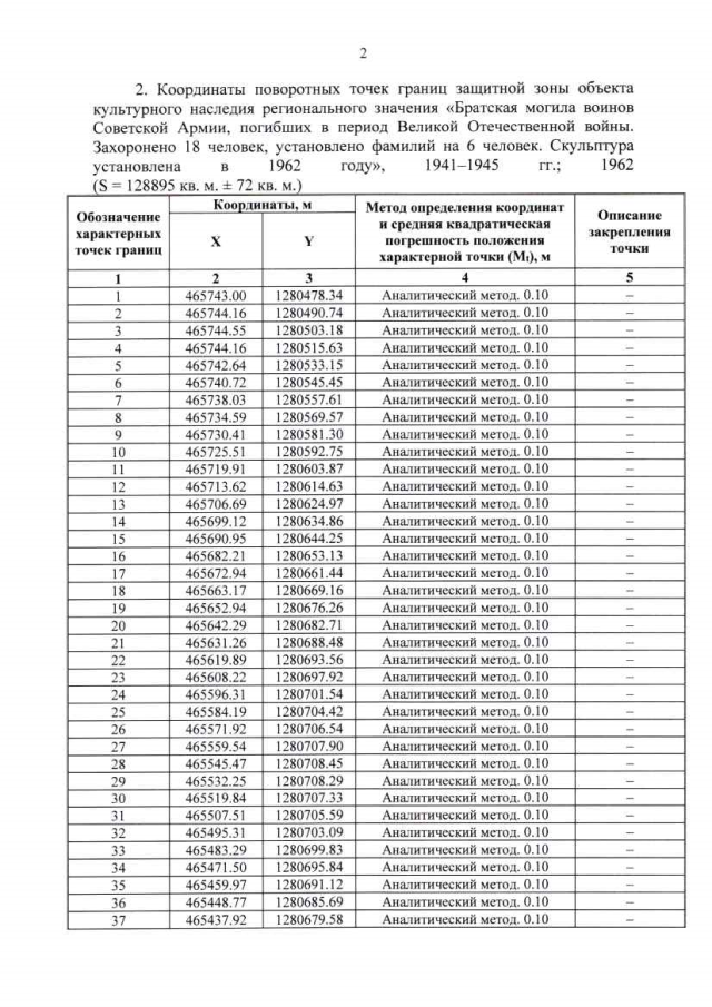
"Об утверждении графического описания местоположения границ защитной зоны объекта культурного наследия регионального значения "Братская могила воинов Советской Армии, погибших в период Великой Отечественной войны. Захоронено 18 человек, установлено фамилий на 6 человек. Скульптура установлена в 1962 году", 1941-1945 гг.; 1962 (Курская область, Фатежский район, Банинский сельсовет, село 1-е Банино)"
"Об утверждении графического описания местоположения границ защитной зоны объекта культурного наследия регионального значения "Братская могила воинов Советской Армии, погибших в период Великой Отечественной войны. Захоронено 18 человек, установлено фамилий на 6 человек. Скульптура установлена в 1962 году", 1941-1945 гг.; 1962 (Курская область, Фатежский район, Банинский сельсовет, село 1-е Банино)"
Номер опубликования: 4601202108300016
Дата опубликования:
30.08.2021
