Официальное опубликование правовых актов
ОФИЦИАЛЬНОЕ ОПУБЛИКОВАНИЕ
Приказ Комитета по охране объектов культурного наследия Курской области от 25.08.2021 № 01.1-08/377
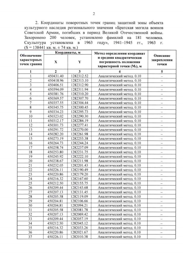
"Об утверждении графического описания местоположения границ защитной зоны объекта культурного наследия регионального значения "Братская могила воинов Советской Армии, погибших в период Великой Отечественной войны. Захоронено 200 человек, установлено фамилий на 181 человека. Скульптура установлена в 1963 году", 1941-1945 гг., 1963 г. (Курская область, Фатежский район, дер. Доброхотово)"
Номер опубликования: 4601202108300007
Дата опубликования: 30.08.2021
Страница №3 из 6:
Увеличить