Официальное опубликование правовых актов
ОФИЦИАЛЬНОЕ ОПУБЛИКОВАНИЕ
Приказ Комитета по охране объектов культурного наследия Курской области от 25.08.2021 № 01.1-08/369
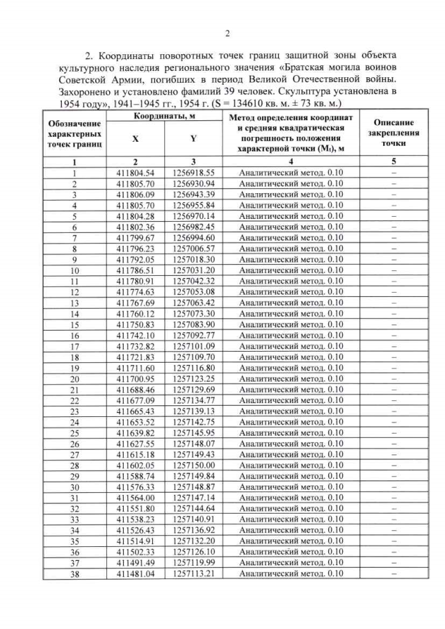
"Об утверждении графического описания местоположения границ защитной зоны объекта культурного наследия регионального значения "Братская могила воинов Советской Армии, погибших в период Великой Отечественной войны. Захоронено и установлено фамилий 39 человек. Скульптура установлена в 1954 году", 1941-1945 гг., 1954 г. (Курская область, Курчатовский район, п. Иванино (в саду средней школы)"
Номер опубликования: 4601202108300003
Дата опубликования: 30.08.2021
Страница №3 из 6:
Увеличить