Официальное опубликование правовых актов
ОФИЦИАЛЬНОЕ ОПУБЛИКОВАНИЕ
Приказ Комитета по охране объектов культурного наследия Курской области от 09.08.2021 № 01.1-08/325
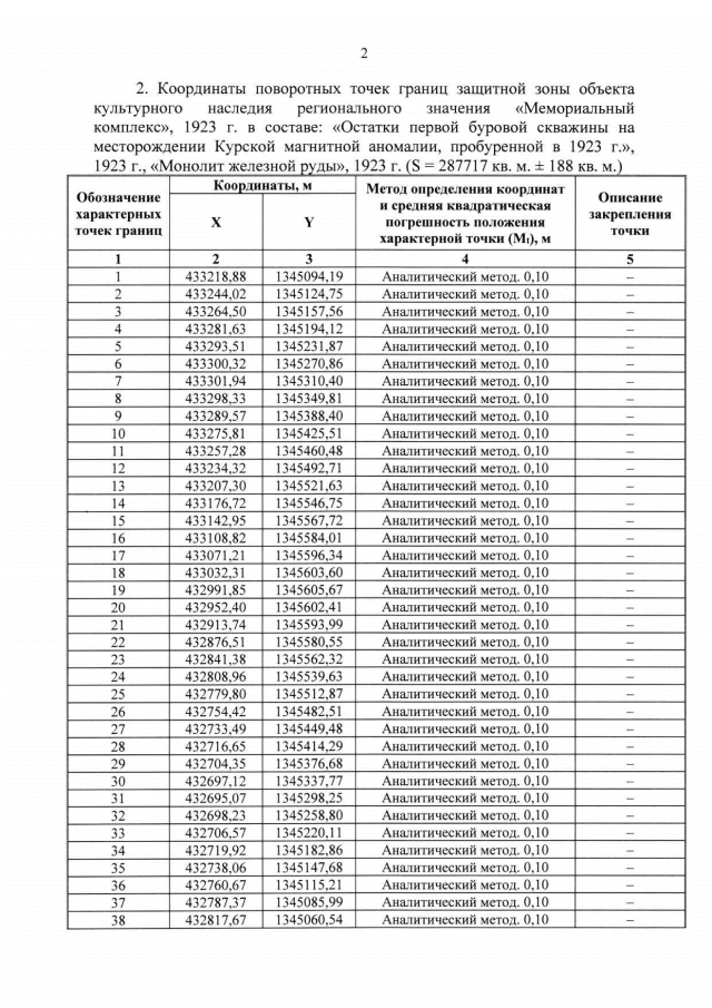
"Об утверждении графического описания местоположения границ защитной зоны объекта культурного наследия регионального значения "Мемориальный комплекс", 1923 г. в составе: "Остатки первой буровой скважины на месторождении Курской магнитной аномалии, пробуренной в 1923 г.", 1923 г., "Монолит железной руды", 1923 г. (Курская область, Щигровский район, д. Лозовка (Пригородненский с/с)"
Номер опубликования: 4601202108130044
Дата опубликования: 13.08.2021
Страница №3 из 5:
Увеличить