Официальное опубликование правовых актов
ОФИЦИАЛЬНОЕ ОПУБЛИКОВАНИЕ
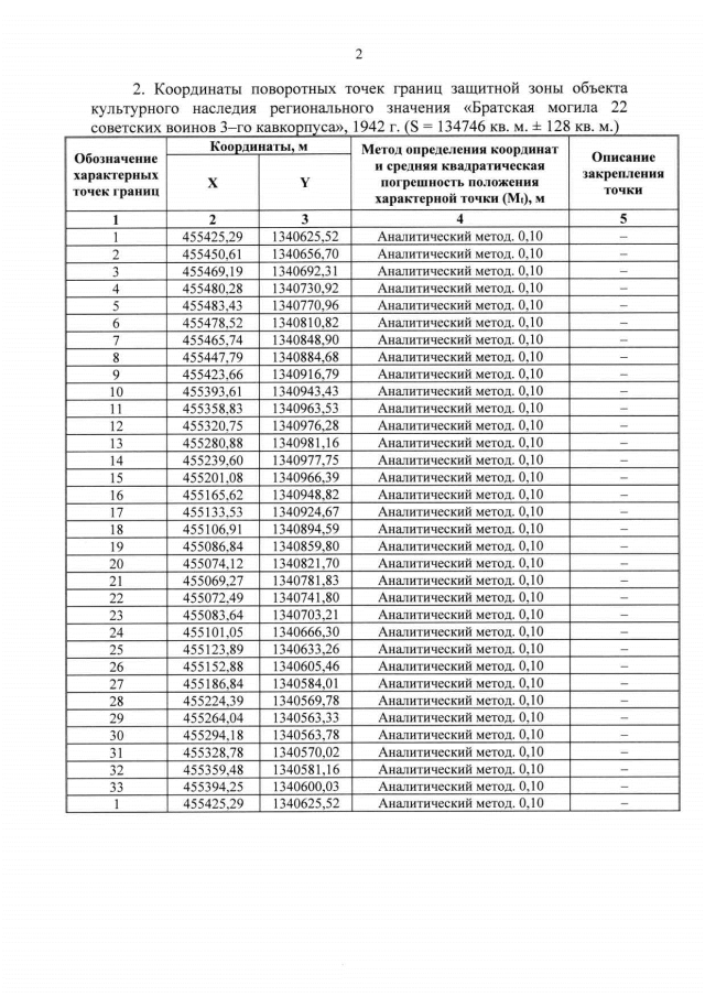
Приказ Комитета по охране объектов культурного наследия Курской области от 09.08.2021 № 01.1-08/317
"Об утверждении графического описания местоположения границ защитной зоны объекта культурного наследия регионального значения "Братская могила 22 советских воинов 3-го кавкорпуса", 1942 г. (Курская область, Щигровский район, Касиновский сельсовет, д. Касиновка)"
Номер опубликования: 4601202108130040
Дата опубликования: 13.08.2021
Страница №3 из 4:
Увеличить