Приказ Комитета по охране объектов культурного наследия Курской области от 09.08.2021 № 01.1-08/309
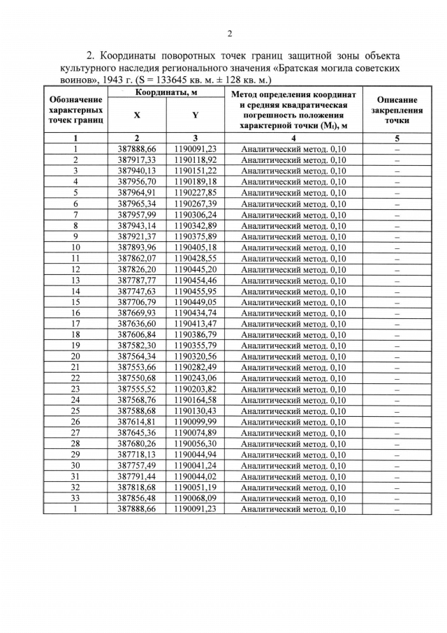
"Об утверждении графического описания местоположения границ защитной зоны объекта культурного наследия регионального значения "Братская могила советских воинов", 1943 г. (Курская область, Рыльский район, д. Сухая)"
"Об утверждении графического описания местоположения границ защитной зоны объекта культурного наследия регионального значения "Братская могила советских воинов", 1943 г. (Курская область, Рыльский район, д. Сухая)"
Номер опубликования: 4601202108130030
Дата опубликования:
13.08.2021
