Официальное опубликование правовых актов
ОФИЦИАЛЬНОЕ ОПУБЛИКОВАНИЕ
Приказ Комитета по охране объектов культурного наследия Курской области от 09.08.2021 № 01.1-08/311
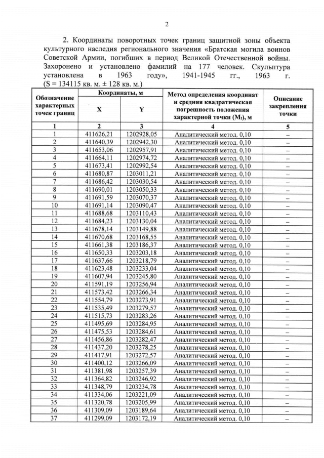
"Об утверждении графического описания местоположения границ защитной зоны объекта культурного наследия регионального значения "Братская могила воинов Советской Армии, погибших в период Великой Отечественной войны. Захоронено и установлено фамилий на 177 человек. Скульптура установлена в 1963 году", 1941-1945 гг.‚ 1963 г. (Курская область, Рыльский район, село Асмолово (на восточной окраине села)"
Номер опубликования: 4601202108130028
Дата опубликования: 13.08.2021
Страница №4 из 6:
Увеличить