Официальное опубликование правовых актов
ОФИЦИАЛЬНОЕ ОПУБЛИКОВАНИЕ
Приказ Комитета по охране объектов культурного наследия Курской области от 02.08.2021 № 01.1-08/293
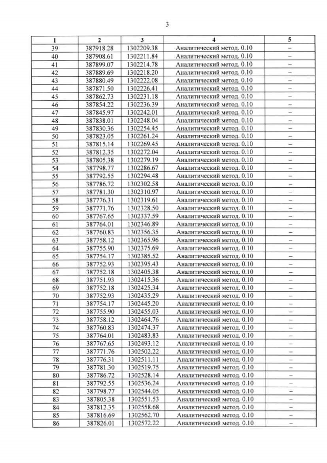
"Об утверждении графического описания местоположения границ защитной зоны объекта культурного наследия регионального значения "Братская могила воинов, погибших в период гражданской войны (1918 г.). Захоронено и установлено фамилий на 18 человек. Скульптура установлена в 1963 году", 1918 г. (Курская область, Медвенский район, с. Рождественское)"
Номер опубликования: 4601202108060006
Дата опубликования: 06.08.2021
Страница №4 из 7:
Увеличить