Официальное опубликование правовых актов
ОФИЦИАЛЬНОЕ ОПУБЛИКОВАНИЕ
Приказ Комитета по охране объектов культурного наследия Курской области от 02.08.2021 № 01.1-08/297
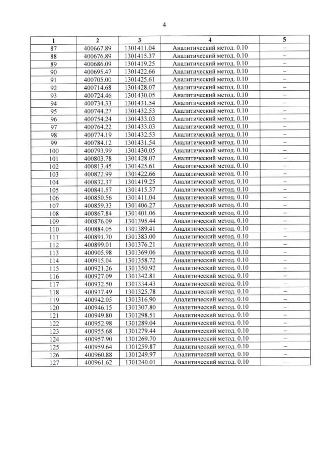
"Об утверждении графического описания местоположения границ защитной зоны объекта культурного наследия регионального значения "Братская могила партизан, погибших в период Великой Отечественной войны. Захоронено и установлено фамилий на 4 человека. Скульптура установлена в 1962 году", 1941-1945 гг. (Курская область, Медвенский район, с. Петропавловка)"
Номер опубликования: 4601202108060005
Дата опубликования: 06.08.2021
Страница №5 из 6:
Увеличить