Официальное опубликование правовых актов
ОФИЦИАЛЬНОЕ ОПУБЛИКОВАНИЕ
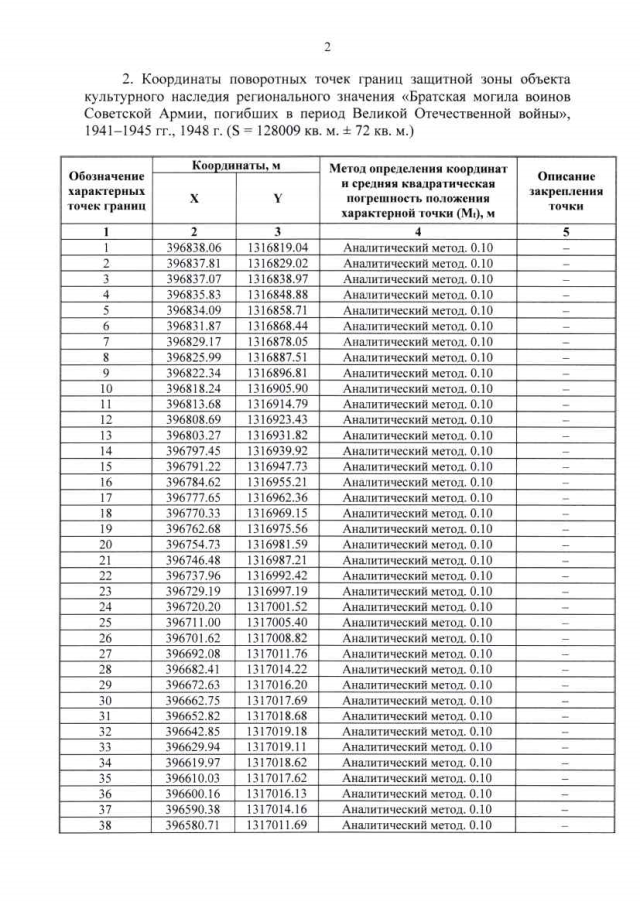
Приказ Комитета по охране объектов культурного наследия Курской области от 02.08.2021 № 01.1-08/294
"Об утверждении графического описания местоположения границ защитной зоны объекта культурного наследия регионального значения "Братская могила воинов Советской Армии, погибших в период Великой Отечественной войны", 1941-1945 гг., 1948 г. (Курская область, Медвенский район, с. Лубянка)"
Номер опубликования: 4601202108060003
Дата опубликования: 06.08.2021
Страница №3 из 6:
Увеличить