Официальное опубликование правовых актов
ОФИЦИАЛЬНОЕ ОПУБЛИКОВАНИЕ
Приказ Комитета по охране объектов культурного наследия Курской области от 29.07.2021 № 01.1-08/268
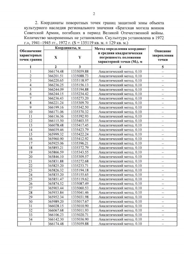
"Об утверждении графического описания местоположения границ защитной зоны объекта культурного наследия регионального значения "Братская могила воинов Советской Армии, погибших в период Великой Отечественной войны. Количество захороненных не установлено. Скульптура установлена в 1972 г.", 1941-1945 гг.‚ 1972 г. (Курская область, Пристенский район, пос. Пристень (во дворе средней школы)"
Номер опубликования: 4601202108040013
Дата опубликования: 04.08.2021
Страница №4 из 5:
Увеличить