Официальное опубликование правовых актов
ОФИЦИАЛЬНОЕ ОПУБЛИКОВАНИЕ
Приказ Комитета по охране объектов культурного наследия Курской области от 29.07.2021 № 01.1-08/280
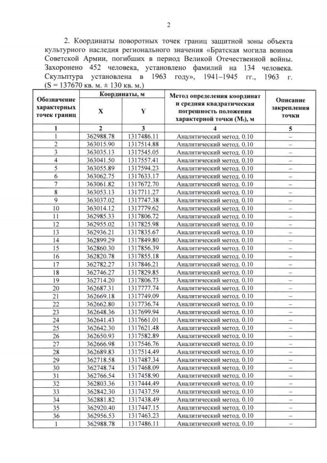
"Об утверждении графического описания местоположения границ защитной зоны объекта культурного наследия регионального значения "Братская могила воинов Советской Армии, погибших в период Великой Отечественной войны. Захоронено 452 человека, установлено фамилий на 134 человека. Скульптура установлена в 1963 году", 1941-1945 гг., 1963 г. (Курская область, Пристенский район, село Бобрышево (в центре села, 50 м восточнее Дома культуры)"
Номер опубликования: 4601202108040003
Дата опубликования: 04.08.2021
Страница №4 из 5:
Увеличить