Официальное опубликование правовых актов
ОФИЦИАЛЬНОЕ ОПУБЛИКОВАНИЕ
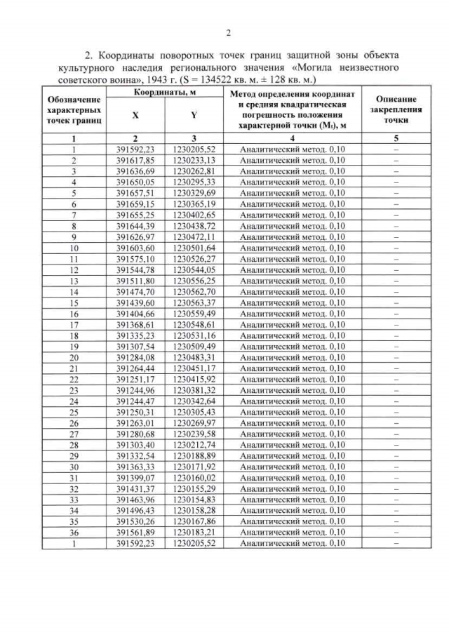
Приказ Комитета по охране объектов культурного наследия Курской области от 29.07.2021 № 01.1-08/284
"Об утверждении графического описания местоположения границ защитной зоны объекта культурного наследия регионального значения "Могила неизвестного советского воина", 1943 г. (Курская область, Кореневский район, п. Каучук)"
Номер опубликования: 4601202108020001
Дата опубликования: 02.08.2021
Страница №3 из 4:
Увеличить