Официальное опубликование правовых актов
ОФИЦИАЛЬНОЕ ОПУБЛИКОВАНИЕ
Приказ Комитета по охране объектов культурного наследия Курской области от 13.07.2021 № 01.1-08/243
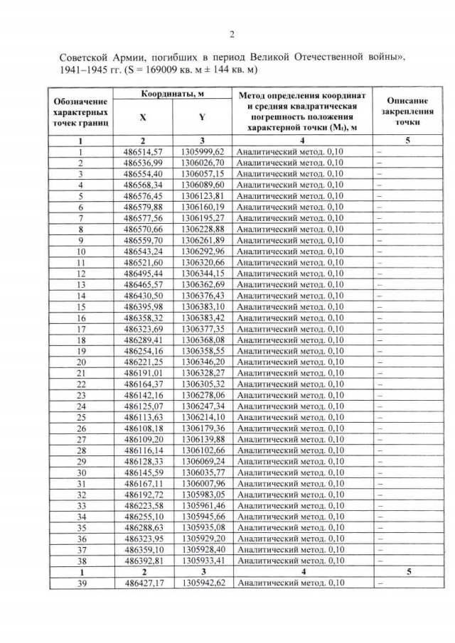
"Об утверждении графического описания местоположения границ защитной зоны объекта культурного наследия регионального значения "Братская могила воинов Советской Армии, погибших в период Великой Отечественной войны",1941-1945 гг. (Курская область, Поныровский район, ст. Поныри (на привокзальной площади)."
Номер опубликования: 4601202107190003
Дата опубликования: 19.07.2021
Страница №3 из 5:
Увеличить