Официальное опубликование правовых актов
ОФИЦИАЛЬНОЕ ОПУБЛИКОВАНИЕ
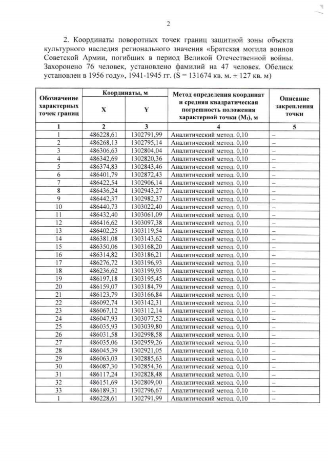
Приказ Комитета по охране объектов культурного наследия Курской области от 13.07.2021 № 01.1-08/242
"Об утверждении графического описания местоположения границ защитной зоны объекта культурного наследия регионального значения "Братская могила воинов Советской Армии, погибших в период Великой Отечественной войны. Захоронено 76 человек, установлено фамилий на 47 человек. Обелиск установлен в 1956 году", 1941-1945 гг., (Курская область, Поныровский район, село 1-ые Поныри (у здания восьмилетней школы))"
Номер опубликования: 4601202107190001
Дата опубликования: 19.07.2021
Страница №3 из 4:
Увеличить