Официальное опубликование правовых актов
ОФИЦИАЛЬНОЕ ОПУБЛИКОВАНИЕ
Приказ Комитета по охране объектов культурного наследия Курской области от 01.07.2021 № 01.1-08/218
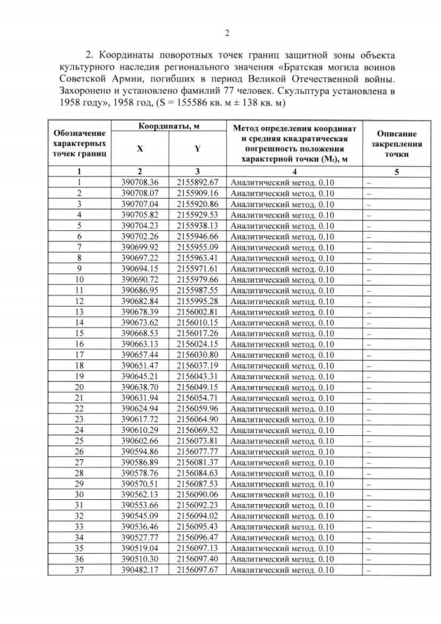
"Об утверждении графического описания местоположения границ защитной зоны объекта культурного наследия регионального значения "Братская могила воинов Советской Армии, погибших в период Великой Отечественной войны. Захоронено и установлено фамилий 77 человек. Скульптура установлена в 1958 году", 1958 год, Курская область, Мантуровский район, село Мантурово (в центре села, в парке)"
Номер опубликования: 4601202107070011
Дата опубликования: 07.07.2021
Страница №3 из 7:
Увеличить