Официальное опубликование правовых актов
ОФИЦИАЛЬНОЕ ОПУБЛИКОВАНИЕ
Приказ Комитета по охране объектов культурного наследия Курской области от 01.07.2021 № 01.1-08/208
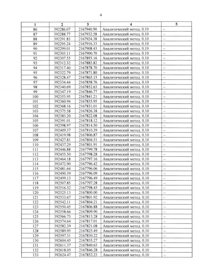
"Об утверждении графического описания местоположения границ защитной зоны объекта культурного наследия регионального значения "Братская могила воинов Советской Армии, погибших в период Великой Отечественной войны. Захоронено 25 человек, установлено фамилий 10-ти человек. Скульптура установлена в 1961 году", 1961 г., Курская область, Мантуровский район, село Репецкая Плата (у здания сельсовета)"
Номер опубликования: 4601202107070004
Дата опубликования: 07.07.2021
Страница №6 из 8:
Увеличить