Официальное опубликование правовых актов
ОФИЦИАЛЬНОЕ ОПУБЛИКОВАНИЕ
Приказ Комитета по охране объектов культурного наследия Курской области от 01.07.2021 № 01.1-08/223
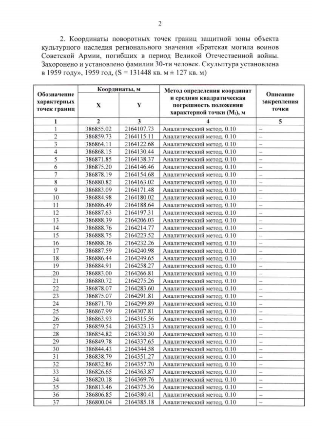
"Об утверждении графического описания местоположения границ защитной зоны объекта культурного наследия регионального значения "Братская могила воинов Советской Армии, погибших в период Великой Отечественной войны. Захоронено и установлено фамилии 30-ти человек. Скульптура установлена в 1959 году", 1959 год, Курская область, Мантуровский район, с. Останино (в центре села)"
Номер опубликования: 4601202107060005
Дата опубликования: 06.07.2021
Страница №3 из 7:
Увеличить