Официальное опубликование правовых актов
ОФИЦИАЛЬНОЕ ОПУБЛИКОВАНИЕ
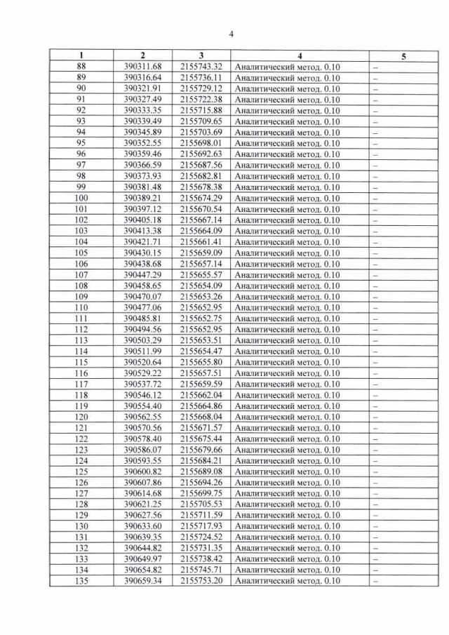
Приказ Комитета по охране объектов культурного наследия Курской области от 01.07.2021 № 01.1-08/225
"Об утверждении графического описания местоположения границ защитной зоны объекта культурного наследия регионального значения "Могила коммунистки Толоковой П.И.", 1942 г., Курская область, Мантуровский район, с. Мантурово"
Номер опубликования: 4601202107060002
Дата опубликования: 06.07.2021
Страница №5 из 7:
Увеличить