Официальное опубликование правовых актов
ОФИЦИАЛЬНОЕ ОПУБЛИКОВАНИЕ
Приказ Комитета по охране объектов культурного наследия Курской области от 17.06.2021 № 01.1-08/186
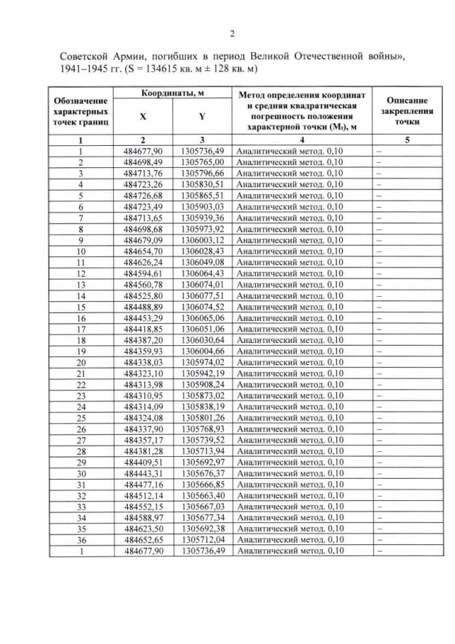
"Об утверждении графического описания местоположения границ защитной зоны объекта культурного наследия регионального значения "Братская могила воинов Советской Армии, погибших в период Великой Отечественной войны",1941-1945 гг. (Курская область, Поныровский район, пос. Поныри (1 км южнее)"
Номер опубликования: 4601202106230009
Дата опубликования: 23.06.2021
Страница №3 из 4:
Увеличить