Официальное опубликование правовых актов
ОФИЦИАЛЬНОЕ ОПУБЛИКОВАНИЕ
Приказ Комитета по охране объектов культурного наследия Курской области от 17.06.2021 № 01.1-08/188
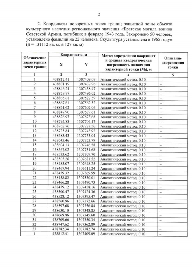
"Об утверждении графического описания местоположения границ защитной зоны объекта культурного наследия регионального значения "Братская могила воинов Советской Армии, погибших в феврале 1943 года. Захоронено 50 человек, установлено фамилий на 22 человека. Скульптура установлена в 1965 году", (Курская область, Золотухинский район, д. Жерновец)"
Номер опубликования: 4601202106230005
Дата опубликования: 23.06.2021
Страница №3 из 4:
Увеличить