Официальное опубликование правовых актов
ОФИЦИАЛЬНОЕ ОПУБЛИКОВАНИЕ
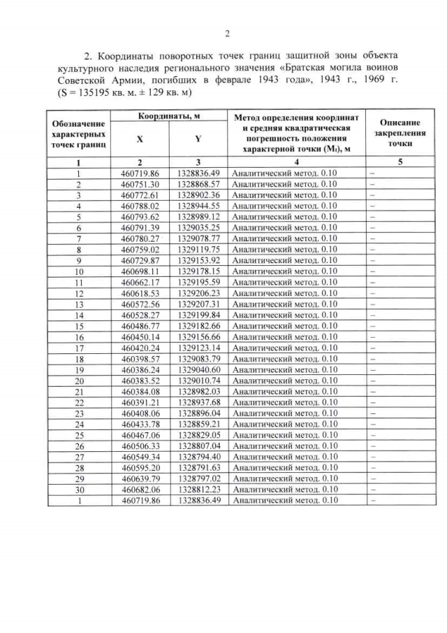
Приказ Комитета по охране объектов культурного наследия Курской области от 17.06.2021 № 01.1-08/191
"Об утверждении графического описания местоположения границ защитной зоны объекта культурного наследия регионального значения "Братская могила воинов Советской Армии, погибших в феврале 1943 года ",1943 г.,1969 г., (Курская область, Золотухинский район, с. Вереитиново Вереитиновского сельсовета (800 метров восточнее восьмилетней школы)"
Номер опубликования: 4601202106230004
Дата опубликования: 23.06.2021
Страница №3 из 4:
Увеличить