Официальное опубликование правовых актов
ОФИЦИАЛЬНОЕ ОПУБЛИКОВАНИЕ
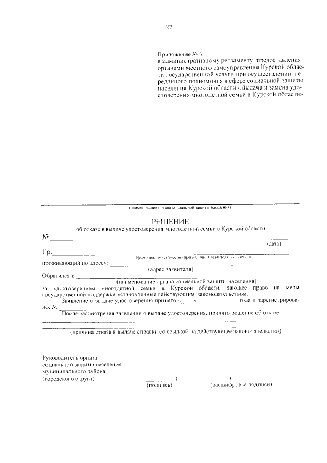
Приказ Комитета социального обеспечения, материнства и детства Курской области от 22.03.2021 № 133
"Об утверждении Административного регламента предоставления органами местного самоуправления Курской области государственной услуги при осуществлении переданного полномочия в сфере социальной защиты населения Курской области "Выдача и замена удостоверения многодетной семьи в Курской области"
Номер опубликования: 4601202103240001
Дата опубликования: 24.03.2021
Страница №30 из 46:
Увеличить