Официальное опубликование правовых актов
ОФИЦИАЛЬНОЕ ОПУБЛИКОВАНИЕ
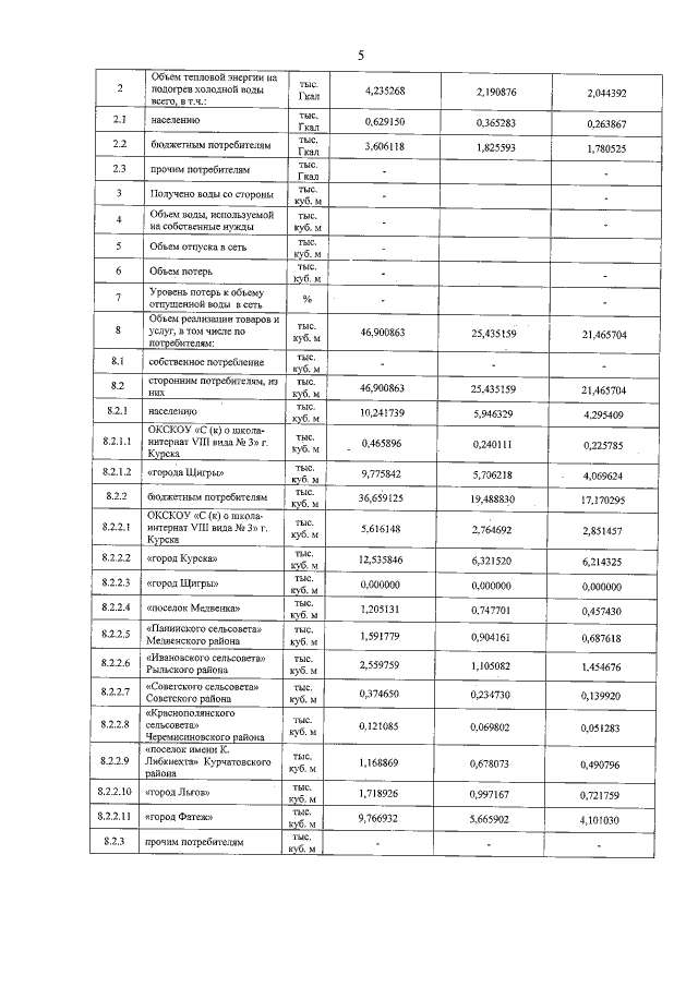
Постановление Комитета по тарифам и ценам Курской области от 18.12.2020 № 276-вод
"О внесении изменений в постановление комитета по тарифам и ценам Курской области от 20 декабря 2018 г. № 294 "Об утверждении производственной программы ГУПКО "Курскоблжилкомхоз" в сфере горячего водоснабжения на 2019-2023 годы"
Номер опубликования: 4601202012230022
Дата опубликования: 23.12.2020
Страница №6 из 15:
Увеличить