Официальное опубликование правовых актов
ОФИЦИАЛЬНОЕ ОПУБЛИКОВАНИЕ
Приказ Комитета социального обеспечения, материнства и детства Курской области от 15.12.2020 № 430
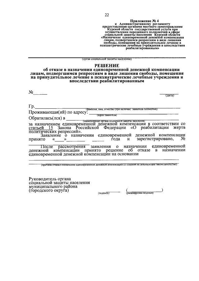
"Об утверждении Административного регламента предоставления органами местного самоуправления Курской области государственной услуги при осуществлении переданного полномочия в сфере социальной защиты населения Курской области "Назначение единовременной денежной компенсации лицам, подвергшимся репрессиям в виде лишения свободы, помещения на принудительное лечение в психиатрические лечебные учреждения и впоследствии реабилитированным"
Номер опубликования: 4601202012180003
Дата опубликования: 18.12.2020
Страница №24 из 32:
Увеличить