Официальное опубликование правовых актов
ОФИЦИАЛЬНОЕ ОПУБЛИКОВАНИЕ
Постановление Комитета по тарифам и ценам Курской области от 03.12.2020 № 218-вод
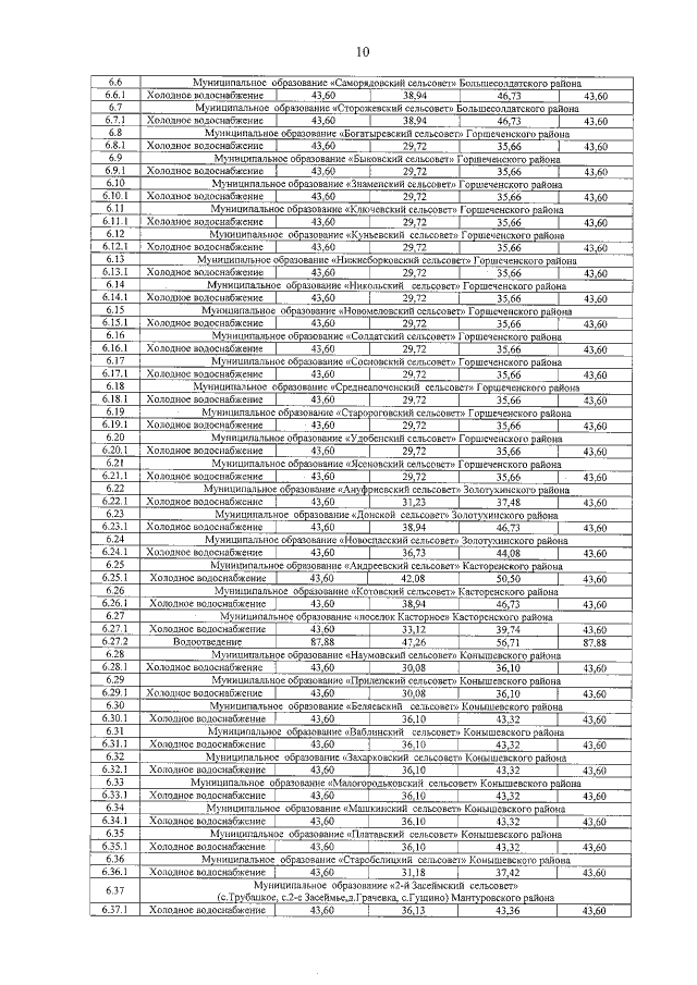
"О внесении изменений в постановление комитета по тарифам и ценам Курской области от 14 декабря 2018 г. № 252 "Об установлении долгосрочных параметров регулирования тарифов и тарифов на питьевую воду и водоотведение для АО "Курскоблводоканал" на период 2019 - 2023 годы"
Номер опубликования: 4601202012090014
Дата опубликования: 09.12.2020
Страница №11 из 35:
Увеличить