Официальное опубликование правовых актов
ОФИЦИАЛЬНОЕ ОПУБЛИКОВАНИЕ
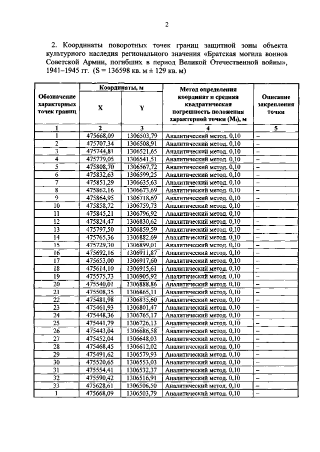
Приказ Управления Администрации Курской области по охране объектов культурного наследия от 11.11.2020 № 242-п
"Об утверждении графического описания местоположения границ защитной зоны объекта культурного наследия регионального значения "Братская могила воинов Советской Армии, погибших в период Великой Отечественной войны", 1941—1945 гг. (Курская область, Поныровский район, с. Брусовое)"
Номер опубликования: 4601202011160007
Дата опубликования: 16.11.2020
Страница №3 из 4:
Увеличить