Официальное опубликование правовых актов
ОФИЦИАЛЬНОЕ ОПУБЛИКОВАНИЕ
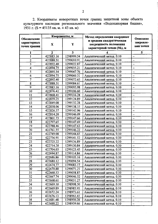
Приказ Управления Администрации Курской области по охране объектов культурного наследия от 09.10.2020 № 229-п
"Об утверждении графического описания местоположения границ защитной зоны объекта культурного наследия регионального значения "Водонапорная башня", 1931 г. (Курская область, г. Курск, ул. Павлова)"
Номер опубликования: 4601202010160003
Дата опубликования: 16.10.2020
Страница №3 из 5:
Увеличить