Официальное опубликование правовых актов
ОФИЦИАЛЬНОЕ ОПУБЛИКОВАНИЕ
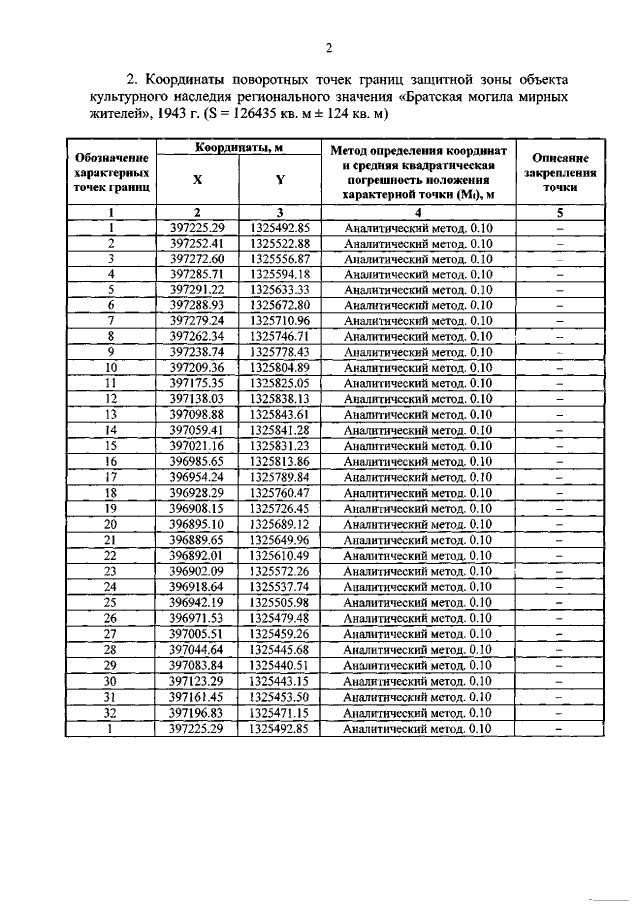
Приказ Управления Администрации Курской области по охране объектов культурного наследия от 06.10.2020 № 220-п
"Об утверждении графического описания местоположения границ защитной зоны объекта культурного наследия регионального значения "Братская могила мирных жителей", 1943 г. (Курская область, Солнцевский район, х. Сорочино)"
Номер опубликования: 4601202010080002
Дата опубликования: 08.10.2020
Страница №3 из 4:
Увеличить